图片名称

新品上市 | 超闪抗逆酶,闪亮登场

新冠疫情推动了核酸提取行业的发展,越来越多的核酸提取试剂、仪器及整合方案推广到客户端,提升了样本通量,缩短了实验时长和人耗。但是各厂家的试剂有利有弊不尽相同,提取出来的模板可能会有不同的杂质残留情况,杂质残留会直接影响下游荧光定量实验,如果下游检测体系不抗造会出现无法有效扩增的现象。为了从根本上解决这个问题,济凡推出一款超强抗逆酶,能够兼容多种多样的复杂模板。
 
这款产品就是我们的Flash Robust HotStart DNA Polymerase。
 
Flash Robust HotStart DNA Polymerase是基于野生型Taq Pol经定向化改造得到的新型热启动聚合酶,具有较强的血液及PCR抑制剂耐受性。采用双抗体封闭,具有超高的扩增效率、良好的扩增灵敏度和特异性。本品在预变性温度下加热30sec,封闭抗体即可完全失活,释放出 DNA 聚合酶活性。
 

图片

Flash Robust HotStart DNA Polymerase具有超高扩增效率、超高抗逆、高灵敏度、可兼容不同GC含量引物探针的扩增。

 

一、超高抗逆

耐受多种高浓度抑制物,如EDTA、盐酸胍、肝素、乙酸钠等。可用于血液直扩,能够对20%比例全血样本进行有效扩增。
 
 
1.1 A210与竞品血液直扩对比实验
 
选用非瘟阳性血进行血液直扩,结果如下:

图片

▲非瘟阳性血液直扩,A210可以扩增20%血液样本,竞品无扩增。
 
 
1.2 A210用于血浆直扩,血浆比例对比实验
 

图片

▲在血浆直扩qPCR体系中,A210可以扩增30%血浆。
 

二、灵敏度高

普通PCR 样本投入量低至400pg,qPCR 可检测个位拷贝数样本。
 
 
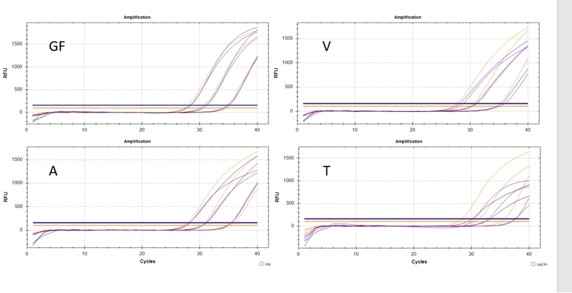
2.1 测试9款不同的品牌的HS Taq,进行Q-PCR检测,其中E是济凡A210 Flash Robust HotStart DNA Polymerase。
 

图片

▲济凡A210的灵敏度优于多数竞品。
 

三、兼容不同GC含量引物探针的扩增

3.1 A210与竞品对不同GC含量引物探针的扩增效果比较
 
以人源基因组作为模板,分别使用不同GC含量的引物探针验证A210性能,结果如下:
 

图片

图片

▲结果表明,对于不同GC含量的引物探针,济凡A210具有更好的兼容性。
 

四、快速扩增

复杂模板扩增3kb以内片段扩增速度可达5-15sec/kb,简单模板扩增速度可达1sec/kb。
 

图片

▲延伸时间1s/kb时,济凡A210扩增曲线的线性优于竞品。
 
We are ready! 欢迎咨询定购!

 

订购信息

图片